RCS API - Sensitivity study of reinforcements

This article is also available in:
The following example ilustrate several features of the new RCS - API. By utilizing an existing file containing a section with predefined cross-section dimensions and loading, it is possible to append or modify the reinforcement to analyze its impact on the section.

The API will be driven via the Python programming language. The reference on IDEA StatiCa Git-Hub

Overview of upcoming steps

  1. Apply a reinforcement template to the selected design section
  2. Run the calculation
  3. Extract the results you want to check from the calculation
  4. Add the results to a dataframe, which you can use to plot onto a graph
inline image in article

Package installations

The packages provide communication and pre-installed functions/objects to launch API, work with data frames and plot the graphs.

IDEA StatiCa RCS Client is a component of IDEA StatiCa, a software solution widely used for the design and code-checking of structural elements, including reinforced concrete and steel structures. Specifically, RCS stands for Reinforced Concrete Sections, and the RCS Client is a part of the application that focuses on analyzing and checking the behavior of reinforced concrete sections under various loading conditions.

Key Features of IDEA StatiCa RCS Client:

  1. Section Analysis: It allows engineers to analyze cross-sections of concrete elements, considering complex interactions between concrete and reinforcement. This can include non-linear behavior, cracking, and other phenomena.
  2. Code Compliance: The RCS Client checks the design against various international codes, ensuring that the sections meet safety and performance standards.
  3. Interaction Diagrams: It can generate interaction diagrams for various load combinations, helping engineers understand how a section behaves under different loading conditions (e.g., axial load combined with bending moments).
  4. Result Visualization: The software provides detailed visualizations of stress-strain distributions, crack patterns, and more, helping engineers to interpret and understand the results easily.
  5. Integration with Other Modules: The RCS Client can work in conjunction with other IDEA StatiCa modules, such as those for steel connections or concrete members, providing a comprehensive design and analysis environment.
  6. Automation and API: The RCS Client can be integrated into workflows using its API, allowing for automated analysis or integration with other software tools.
inline image in article
inline image in article

Open the existing project and get section details

  1. Open model in IDEA StatiCa is called "Project2.IdeaRcs"
  2. Getting the details from Extreme in IDEA StatiCa Navigator (if there will be more than one section defined, will take into account all Extremes)
inline image in article
inline image in article

Run loop over the templates, calculation and results

  1. Section selection for analysis
  2. Templates that will be used for analysis
  3. Calculation of all variants
  4. Print results
inline image in article

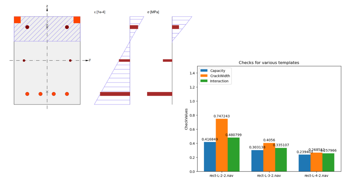
Plotting the outputs (matplotlib)

inline image in article
inline image in article

You have gained proficiency in utilizing the API for RCS to conduct batch analysis on the templates in IDEA StatiCa RCS.

Sample files

Related articles