Column base – Open section column in bending to strong axis

Tento článek je dostupný také v dalších jazycích:
Translated by AI from English
This is a selected chapter from book Component-based finite element design of steel connections by prof. Wald et al. The chapter is focused on verification of column base of open section column loaded in bending around stronger axis.

Description

The object of this chapter is verification of component-based finite element method (CBFEM) of the column base of the steel open section column loaded in compression and bending around the stronger axis with the component method (CM). The study is prepared for size of the column, geometry, and thickness of base plate. In the study, five components are examined: column flange and web in compression, concrete in compression including grout, base plate in bending, anchors in tension, and welds. All components are designed according to EN 1993-1-8:2005, EN 1992‑1‑1:2005, and EN 1992‑4.

Verification of resistance

An example of component method design is shown on the anchorage of column steel section HEB 240:

Concrete block has dimensions a' = 1000 mm, b' = 1500 mm,  h = 900 mm and grade C20/25. Base plate dimensions are a = 330 mm, b = 440 mm, t = 20 mm and steel grade is S235. Anchor bolts are 4 × M20, As = 245 mm2, length 300 mm, with head diameter a = 60 mm and steel grade 8.8. Grout thickness is 30 mm.

The results of the analytical solution may be presented on an interaction diagram with distinctive significant points. Point −1 represents loading in pure tension, and point 4 represents the compression bearing resistance. Detailed description of points 0, 1, 2, and 3 is shown in Fig. 8.2.1; see (Wald, 1995) and (Wald et al. 2008).

inline image in article

Fig. 8.2.1 Significant points on interaction diagram

The stress distribution for point 0 and 3 reached by CBFEM is displayed in Fig. 8.2.2 and 8.2.3. 

inline image in article

Fig. 8.2.2 Stress in concrete and forces in anchors for point 0 obtained by CBFEM (deform. scale 10)

inline image in article

Fig. 8.2.3 Stress in concrete and forces in anchors for point 3 obtained by CBFEM
(deform. scale 10)

inline image in article

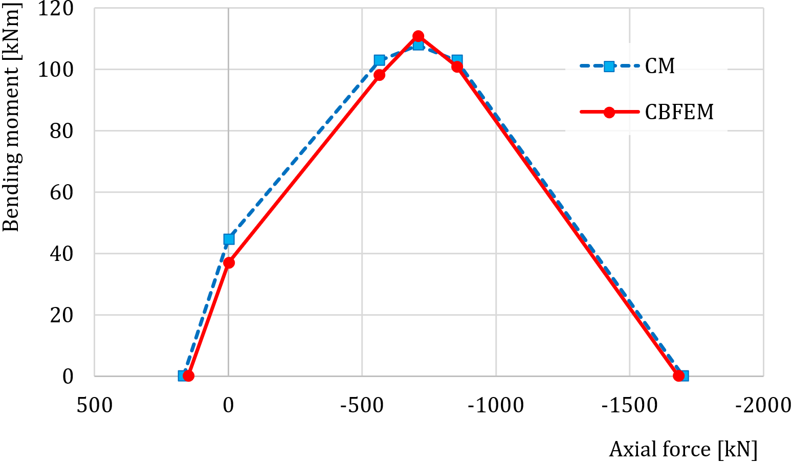
Fig. 8.2.4 Comparison of models on interaction diagram

The comparison of interaction diagram obtained by CBFEM to interaction diagram calculated according to CM is presented in Fig. 8.2.4 and Tab. 8.2.1.

Tab. 8.2.1 Comparison of results of interaction diagram for HEB 240 by analytic solution and by CBFEM


Analytical solution
Results of CBFEM

Axial force  [kN]Bending resistance [kNm]Axial force [kN]Bending resistance [kNm]
Point -116901500
Point 0045037
Point 1−564103−56498
Point 2−708108−708111
Point 3−853103−853101
Point 4−17000−16830

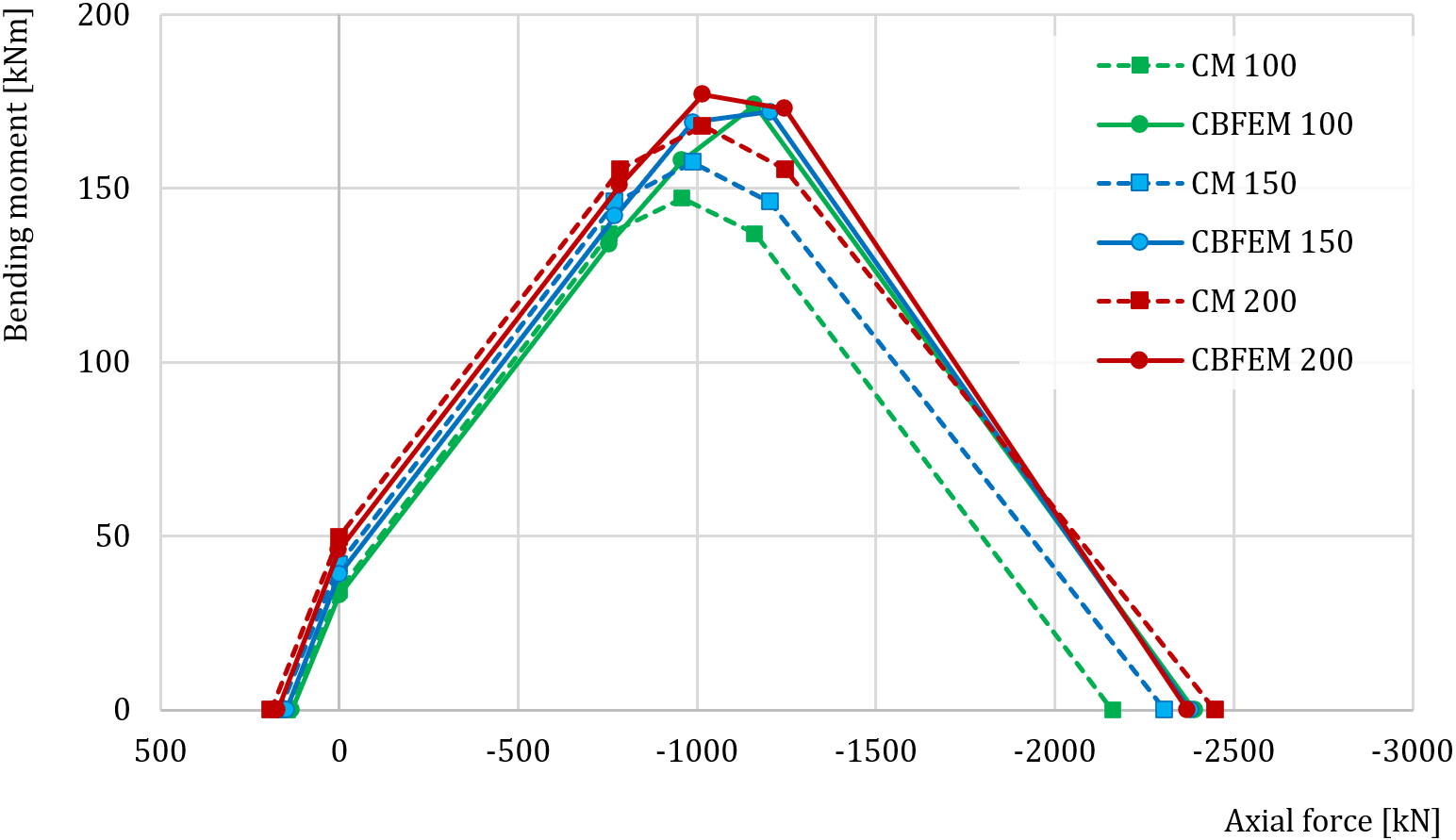
Sensitivity study

The results of CBFEM were compared with the results of the component method. The comparison was made by bending moment resistance for the given level of normal force for each of the interaction diagram points.

In the sensitivity study, size of the column, dimensions of the base plate, and dimensions of concrete pad were changed. The selected column cross-sections were HEB 200, HEB 300, and HEB 400. The base plate width and length was chosen 100 mm, 150 mm, and 200 mm larger than the column section; the base plate thickness was 15 mm, 20 mm, and 25 mm. The concrete pad was from grade C25/30. The concrete pad height was for all cases 900 mm, and width and length were 200 mm larger than the dimensions of the base plate. Anchor bolts were M20 grade 8.8 with an embedment depth of 300 mm. The parameters are summarized in Tab. 8.2.2. Welds were the same around the whole column section with sufficient throat thickness in order not to be the critical component. One parameter was changed while the others were held constant at the middle value.

Tab. 8.2.2 Selected parameters

Column sectionHEB 200HEB 300HEB 400
Base plate offset100 mm150 mm200 mm
Base plate thickness15 mm20 mm25 mm

In Fig. 8.2.5, results for changes in the column cross-section are presented. In Fig. 8.2.6 and Fig. 8.2.7, the base plate offset and the base plate thickness are varied, respectively.

inline image in article

Fig. 8.2.5 Column section variation

inline image in article

Fig. 8.2.6 Base plate offset variation – 100, 200, and 300 mm

inline image in article

Fig. 8.2.7 Base plate thickness variation – 15, 20, and 25 mm

Benchmark case

Input

Column cross-section

  • HEB 240
  • Steel S235

Base plate

  • Thickness 20 mm
  • Offsets top 100 mm, left 45 mm
  • Steel S235

Anchor bolt

  • M20 8.8
  • Anchoring length 300 mm
  • Anchor type: Washer plate - circular; size 40 mm
  • Offsets top layers 50 mm, left layers −10 mm
  • Shear plane in thread
  • Welds both 8 mm

Foundation block

  • Concrete C20/25
  • Offset 335 mm and 530 mm
  • Depth 900 mm
  • Shear force transfer friction
  • Grout thickness 30 mm

Loading

  • Axial force N = −853 kN
  • Bending moment My = 100 kNm

Output

  • Anchor bolts 42,2 % (NEd,g = 51,7 kN ≤ NRdc = 122,4 kN - concrete core breakout for anchors A1 and A2)
  • Concrete block 99,5 % (σ = 26,7 MPa ≤ fjd = 26,8 MPa)

References

EN 1992-1-1, Eurocode 2, Design of concrete structures – Part 1-1: General rules and rules for buildings, CEN, Brussels, 2005.

EN 1992-4:2018, Eurocode 2: Design of concrete structures – Part 4: Design of fastenings for use in concrete, Brussels, 2018.

EN 1993-1-8, Eurocode 3, Design of steel structures – Part 1-8: Design of joints, CEN, Brussels, 2005.

Wald F. Column Bases, CTU Publishing House, Prague, 1995.

Wald F., Sokol Z., Steenhuis M., Jaspart, J.P. Component method for steel column bases, Heron, 53, 2008, 3-20.